KINH TẾ CHÍNH TRỊ MÁC LENIN: Ghi Chú Cô Hiếu (KTCT)

KINH TẾ CHÍNH TRỊ MÁC LENIN: Ghi Chú Cô Hiếu (KTCT) - Document Preview

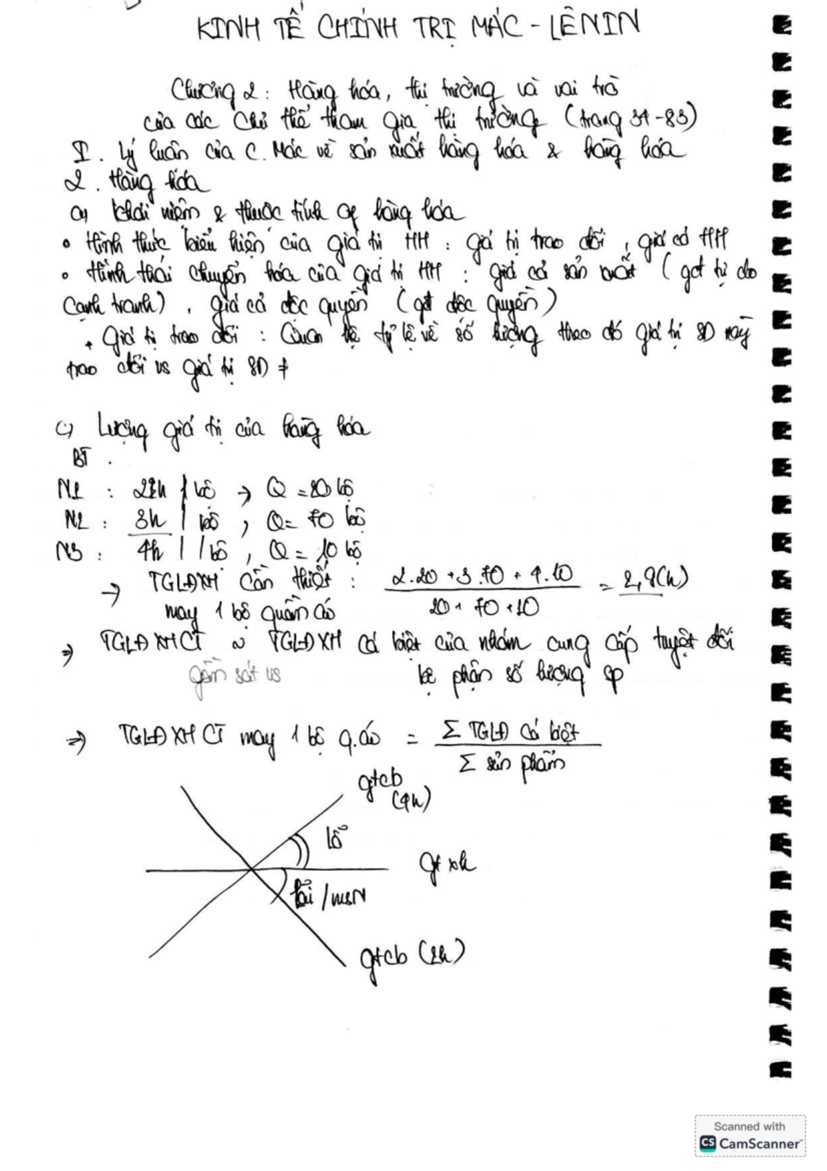
KINH TE CHINH TRI MAC LENIN Chicing 2: Hang hoa, thi tricing la vai to cia Chi the than gia thi thing (trang I. Ly luan cia C.

Document Information

  • Document Title: KINH TẾ CHÍNH TRỊ MÁC LENIN: Ghi Chú Cô Hiếu (KTCT)
  • Source Platform: Studocu.net
  • PDF Availability: Direct link not detected; placeholder PDF will be provided
  • Document Type: Academic Document / Study Material

Important Notice

Please ensure you have the legal right to download and use this document. Respect copyright laws and use downloaded materials responsibly for educational purposes only. DownStudocu is not affiliated with Studocu.net.