Manuale di Diritto Commerciale - Parte I: L

Manuale di Diritto Commerciale - Parte I: L - Document Preview

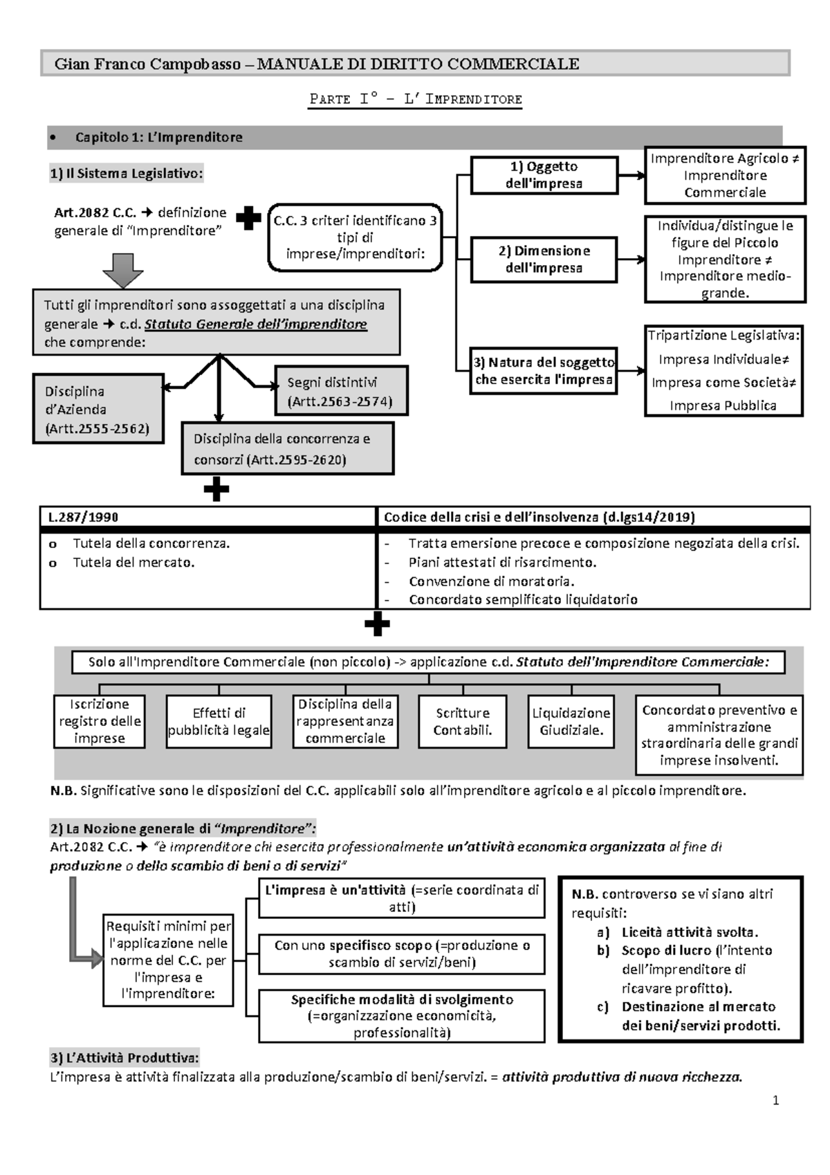
1 Gian Franco Campobasso – MANUALE DI DIRITTO COMMERCIALE PARTE I° - L’IMPRENDITORE Capitolo 1: L’Imprenditore 1) Il Sistema Legislativo: L/1990 Codice della...

Document Information

  • Document Title: Manuale di Diritto Commerciale - Parte I: L
  • Source Platform: Studocu.net
  • PDF Availability: Direct link not detected; placeholder PDF will be provided
  • Document Type: Academic Document / Study Material

Important Notice

Please ensure you have the legal right to download and use this document. Respect copyright laws and use downloaded materials responsibly for educational purposes only. DownStudocu is not affiliated with Studocu.net.